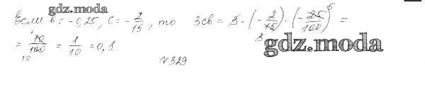
ОТВЕТ на задание № 328 Учебник по Алгебре 7 класс Дорофеев Академический школьный учебник

Решебник 1

упражнение / 328

Решебник 2

упражнение / 328

Решебник 3

упражнение / 328

Решебник 4

упражнение / 328

Решебник 5

упражнение / 328

ГДЗ решение к заданию № 328 Алгебра 7 класс Дорофеев Г.В. Просвещение 2020 ФГОС бесплатно на гдз.мода!