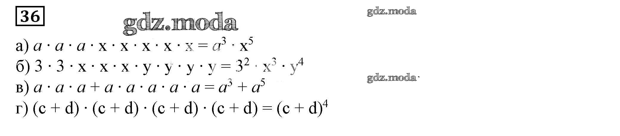
ОТВЕТ на задание № 36 Учебник по Алгебре 7 класс Дорофеев Академический школьный учебник

Решебник 1

упражнение / 36

Решебник 3

упражнение / 36

Решебник 4

упражнение / 36

Решебник 5

упражнение / 36

ГДЗ решение к заданию № 36 Алгебра 7 класс Дорофеев Г.В. Просвещение 2020 ФГОС бесплатно на гдз.мода!