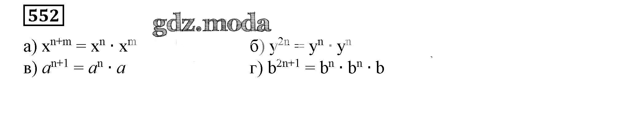
ОТВЕТ на задание № 552 Учебник по Алгебре 7 класс Дорофеев Академический школьный учебник

Решебник 1

упражнение / 552

Решебник 2

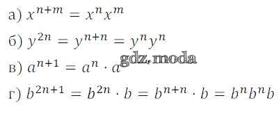
упражнение / 552

Решебник 3

упражнение / 552

Решебник 4

упражнение / 552

Решебник 5

упражнение / 552

ГДЗ решение к заданию № 552 Алгебра 7 класс Дорофеев Г.В. Просвещение 2020 ФГОС бесплатно на гдз.мода!