ОТВЕТ на задание № 563 Учебник по Алгебре 7 класс Дорофеев Академический школьный учебник

Решебник 1

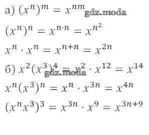
упражнение / 563

Решебник 2

упражнение / 563

Решебник 3

упражнение / 563

Решебник 4

упражнение / 563

Решебник 5

упражнение / 563

ГДЗ решение к заданию № 563 Алгебра 7 класс Дорофеев Г.В. Просвещение 2020 ФГОС бесплатно на гдз.мода!