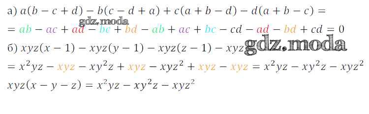
ОТВЕТ на задание № 697 Учебник по Алгебре 7 класс Дорофеев Академический школьный учебник

Решебник 1

упражнение / 697

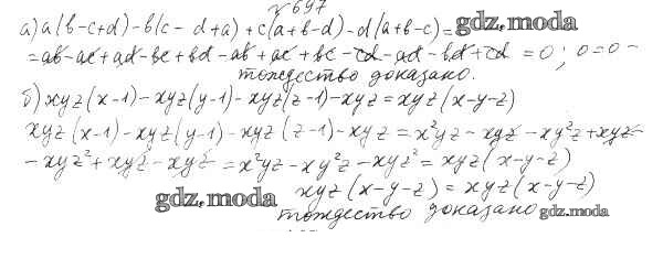
Решебник 2

упражнение / 697

Решебник 3

упражнение / 697

Решебник 5

упражнение / 697

ГДЗ решение к заданию № 697 Алгебра 7 класс Дорофеев Г.В. Просвещение 2020 ФГОС бесплатно на гдз.мода!