ОТВЕТ на задание № 744 Учебник по Алгебре 7 класс Дорофеев Академический школьный учебник

Решебник 1

упражнение / 744

Решебник 2

упражнение / 744

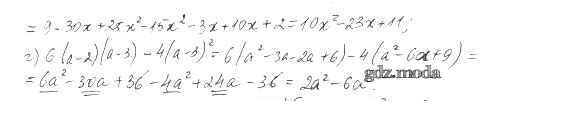
Решебник 3

упражнение / 744

Решебник 5

упражнение / 744

ГДЗ решение к заданию № 744 Алгебра 7 класс Дорофеев Г.В. Просвещение 2020 ФГОС бесплатно на гдз.мода!