ОТВЕТ на задание № 830 Учебник по Алгебре 7 класс Дорофеев Академический школьный учебник

Решебник 1

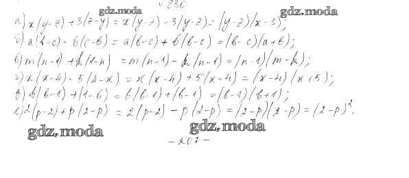
упражнение / 830

Решебник 2

упражнение / 830

Решебник 3

упражнение / 830

Решебник 5

упражнение / 830

ГДЗ решение к заданию № 830 Алгебра 7 класс Дорофеев Г.В. Просвещение 2020 ФГОС бесплатно на гдз.мода!