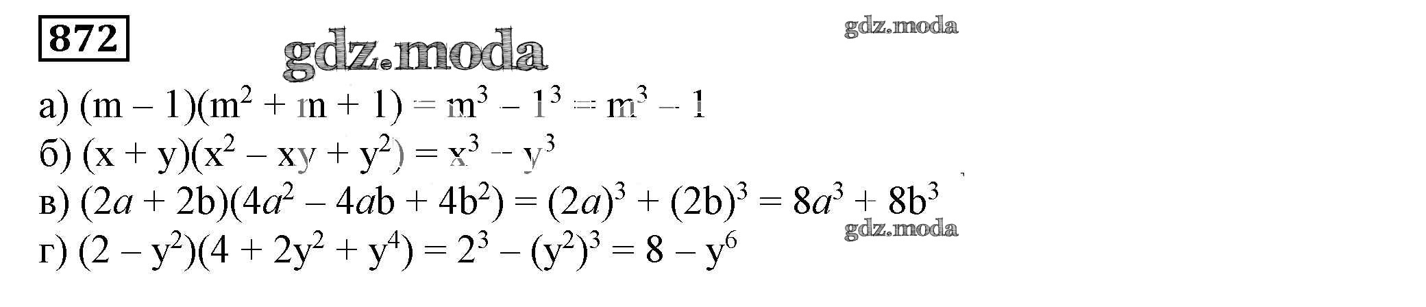
ОТВЕТ на задание № 872 Учебник по Алгебре 7 класс Дорофеев Академический школьный учебник

Решебник 1

упражнение / 872

Решебник 2

упражнение / 872

Решебник 3

упражнение / 872

Решебник 5

упражнение / 872

ГДЗ решение к заданию № 872 Алгебра 7 класс Дорофеев Г.В. Просвещение 2020 ФГОС бесплатно на гдз.мода!