ОТВЕТ на задание № 926 Учебник по Алгебре 7 класс Дорофеев Академический школьный учебник

Решебник 1

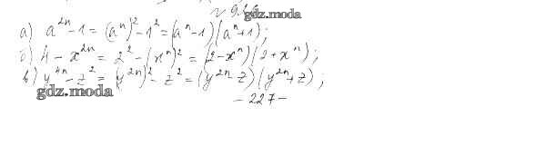
упражнение / 926

Решебник 2

упражнение / 926

Решебник 3

упражнение / 926

Решебник 5

упражнение / 926

ГДЗ решение к заданию № 926 Алгебра 7 класс Дорофеев Г.В. Просвещение 2020 ФГОС бесплатно на гдз.мода!