ОТВЕТ на задание № 928 Учебник по Алгебре 7 класс Дорофеев Академический школьный учебник

Решебник 1

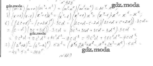
упражнение / 928

Решебник 2

упражнение / 928

Решебник 3

упражнение / 928

Решебник 5

упражнение / 928

ГДЗ решение к заданию № 928 Алгебра 7 класс Дорофеев Г.В. Просвещение 2020 ФГОС бесплатно на гдз.мода!