Классы
1 класс
2 класс
3 класс
4 класс
5 класс
6 класс
7 класс
8 класс
9 класс
10 класс
11 класс
Предметы
Алгебра
Английский язык
Белорусский язык
Биология
География
Геометрия
Естествознание
Информатика
Искусство
История
Кубановедение
Литература
Математика
Музыка
Немецкий язык
ОБЖ
Обществознание
Окружающий мир
Основы здоровья
Природоведение
Русский язык
Технология
Украинский язык
Физика
Французский язык
Химия
Человек и мир
Я исследую мир
ГДЗ
7 класс
Алгебра
дидактические материалы Феоктистов
подготовительный вариант
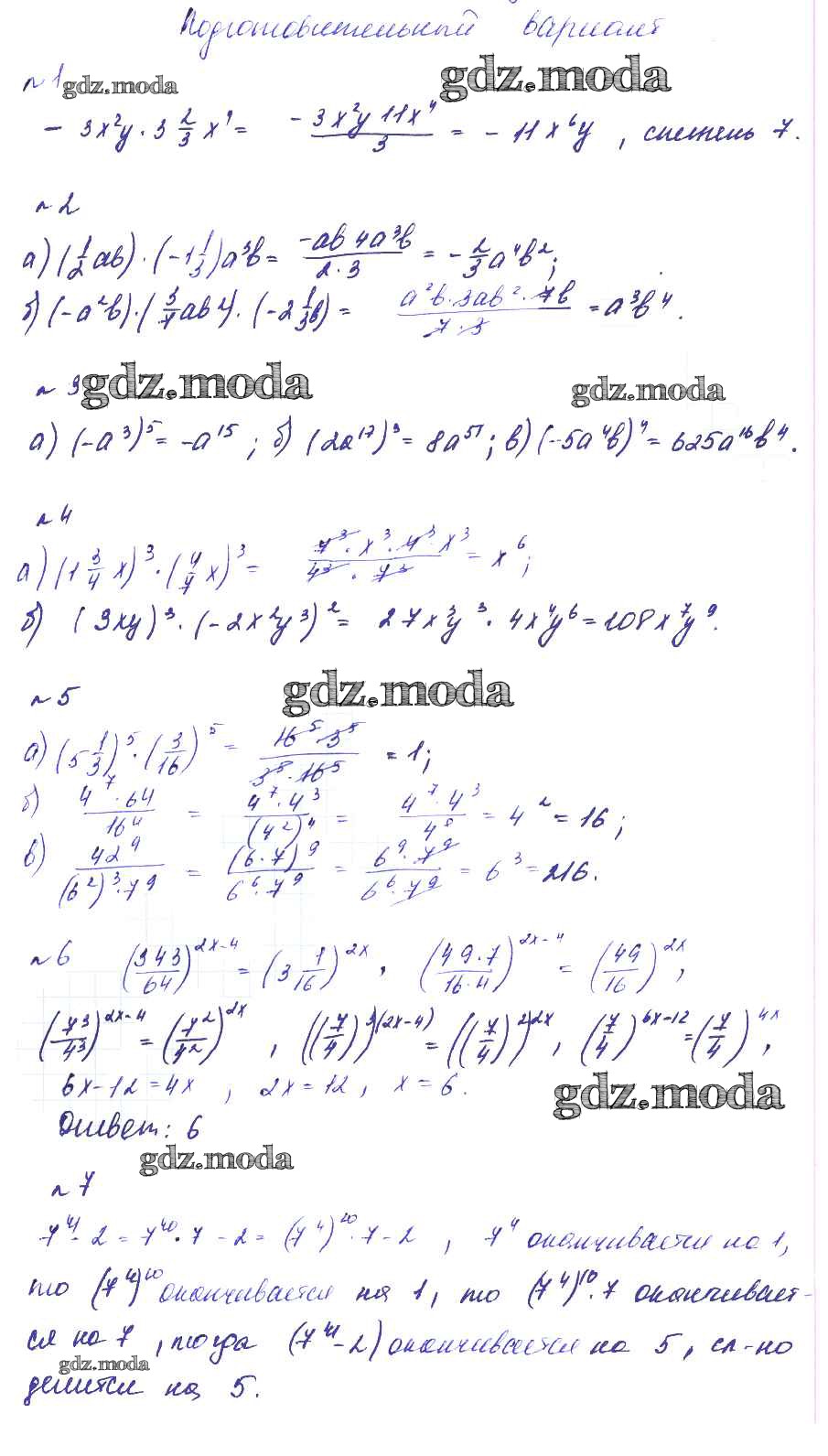
ОТВЕТ на задание № Подготовительный вариант Дидактические материалы по Алгебре 7 класс Феоктистов Углубленный уровень
Показать содержание
← Предыдущее
Следующее →
Решебник
самостоятельная работа. вариант / ср-5 / подготовительный вариант
Показать содержание
← Предыдущее
Следующее →
ГДЗ решение к заданию № Подготовительный вариант Алгебра 7 класс дидактические материалы. Методические рекомендации Феоктистов И.Е. Мнемозина 2016 Углубленный уровень ФГОС бесплатно на гдз.мода!