Классы
1 класс
2 класс
3 класс
4 класс
5 класс
6 класс
7 класс
8 класс
9 класс
10 класс
11 класс
Предметы
Алгебра
Английский язык
Белорусский язык
Биология
География
Геометрия
Естествознание
Информатика
Искусство
История
Кубановедение
Литература
Математика
Музыка
Немецкий язык
ОБЖ
Обществознание
Окружающий мир
Основы здоровья
Природоведение
Русский язык
Технология
Украинский язык
Физика
Французский язык
Химия
Человек и мир
Я исследую мир
ГДЗ
7 класс
Алгебра
Колягин Учебник
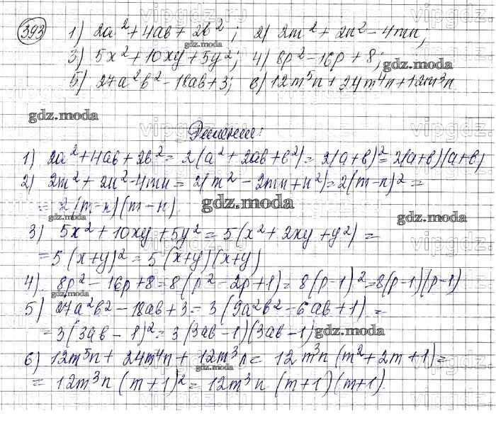
393
ОТВЕТ на задание № 393 Учебник по Алгебре 7 класс Колягин УМК
Показать содержание
← Предыдущее
Следующее →
Решебник 1
упражнение / 393
Показать содержание
← Предыдущее
Следующее →
Все ГДЗ по
Алгебре 7 класс УМК
ГДЗ решение к заданию № 393 Алгебра 7 класс Колягин Ю.М. Просвещение 2012 ФГОС бесплатно на гдз.мода!