ОТВЕТ на задание № 4 Контрольные работы по Алгебре 7 класс Александрова

Решебник 1

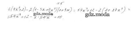
контрольная работа / кр-5. вариант / 4

Решебник 2

контрольная работа / кр-5. вариант / 4

Решебник 3

контрольная работа / кр-5. вариант / 4

ГДЗ решение к заданию № 4 Алгебра 7 класс контрольные работы Александрова Л.А. Мнемозина 2017 ФГОС бесплатно на гдз.мода!