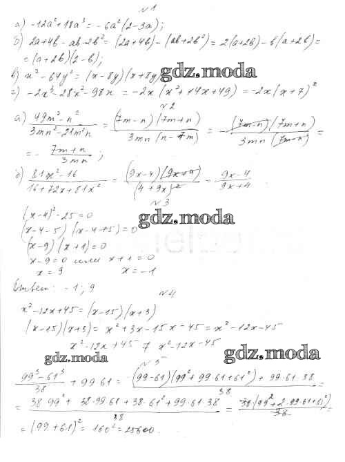
ОТВЕТ на задание № 3 Контрольные работы по Алгебре 7 класс Александрова

Решебник 1

контрольная работа / кр-6. вариант / 3

Решебник 2

контрольная работа / кр-6. вариант / 3

Решебник 3

контрольная работа / кр-6. вариант / 3

ГДЗ решение к заданию № 3 Алгебра 7 класс контрольные работы Александрова Л.А. Мнемозина 2017 ФГОС бесплатно на гдз.мода!