Классы
1 класс
2 класс
3 класс
4 класс
5 класс
6 класс
7 класс
8 класс
9 класс
10 класс
11 класс
Предметы
Алгебра
Английский язык
Белорусский язык
Биология
География
Геометрия
Естествознание
Информатика
Искусство
История
Кубановедение
Литература
Математика
Музыка
Немецкий язык
ОБЖ
Обществознание
Окружающий мир
Основы здоровья
Природоведение
Русский язык
Технология
Украинский язык
Физика
Французский язык
Химия
Человек и мир
Я исследую мир
ГДЗ
7 класс
Алгебра
учебник Макарычев
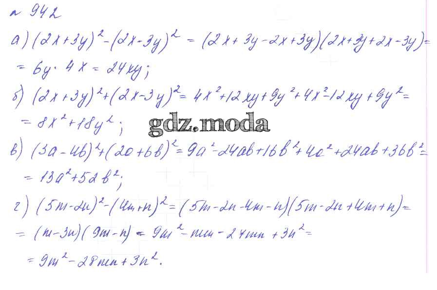
942
ОТВЕТ на задание № 942 Учебник по Алгебре 7 класс Макарычев УМК Углубленный уровень
Показать содержание
← Предыдущее
Следующее →
Решебник
упражнение / 942
Показать содержание
← Предыдущее
Следующее →
Все ГДЗ по
Алгебре 7 класс УМК
ГДЗ решение к заданию № 942 Алгебра 7 класс Макарычев Ю.Н. Мнемозина 2013 Углубленный уровень ФГОС бесплатно на гдз.мода!