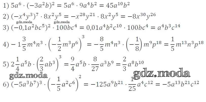
ОТВЕТ на задание № 71 Дидактические материалы по Алгебре 7 класс Мерзляк УМК

Решебник №1

вариант 1 / 71

Решебник №2

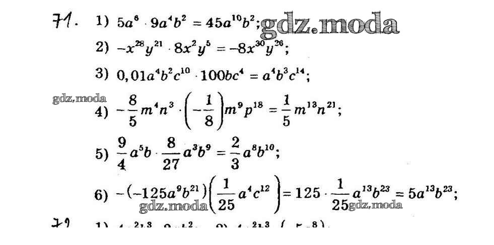
вариант 1 / 71

Решебник №3

вариант 1 / 71

Все ГДЗ по Алгебре 7 класс УМК

ГДЗ решение к заданию № 71 Алгебра 7 класс дидактические материалы Мерзляк А.Г. Вентана-граф 2017 ФГОС бесплатно на гдз.мода!