ОТВЕТ на задание № 84 Дидактические материалы по Алгебре 7 класс Мерзляк УМК

Решебник №1

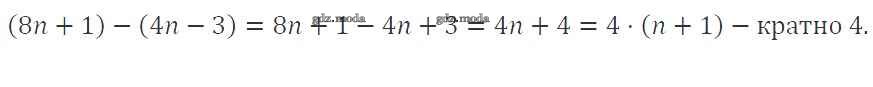
вариант 1 / 84

Решебник №2

вариант 1 / 84

Решебник №3

вариант 1 / 84

Все ГДЗ по Алгебре 7 класс УМК

ГДЗ решение к заданию № 84 Алгебра 7 класс дидактические материалы Мерзляк А.Г. Вентана-граф 2017 ФГОС бесплатно на гдз.мода!