ОТВЕТ на задание № 175 Дидактические материалы по Алгебре 7 класс Мерзляк УМК

Решебник №1

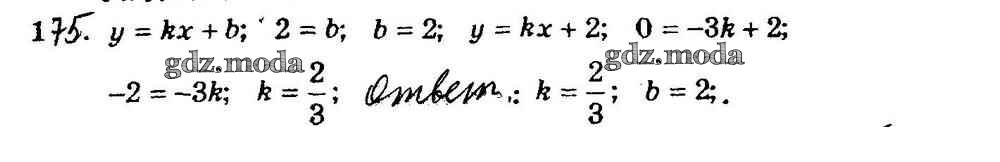
вариант 2 / 175

Решебник №2

вариант 2 / 175

Решебник №3

вариант 2 / 175

Все ГДЗ по Алгебре 7 класс УМК

ГДЗ решение к заданию № 175 Алгебра 7 класс дидактические материалы Мерзляк А.Г. Вентана-граф 2017 ФГОС бесплатно на гдз.мода!