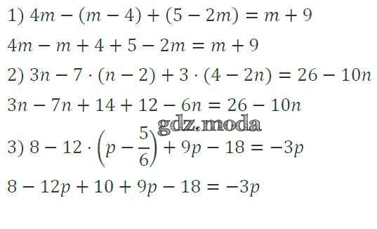
ОТВЕТ на задание № 45 Дидактические материалы по Алгебре 7 класс Мерзляк УМК

Решебник №1

вариант 3 / 45

Решебник №3

вариант 3 / 45

Решебник №4

вариант 3 / 45

Все ГДЗ по Алгебре 7 класс УМК

ГДЗ решение к заданию № 45 Алгебра 7 класс дидактические материалы Мерзляк А.Г. Вентана-граф 2017 ФГОС бесплатно на гдз.мода!