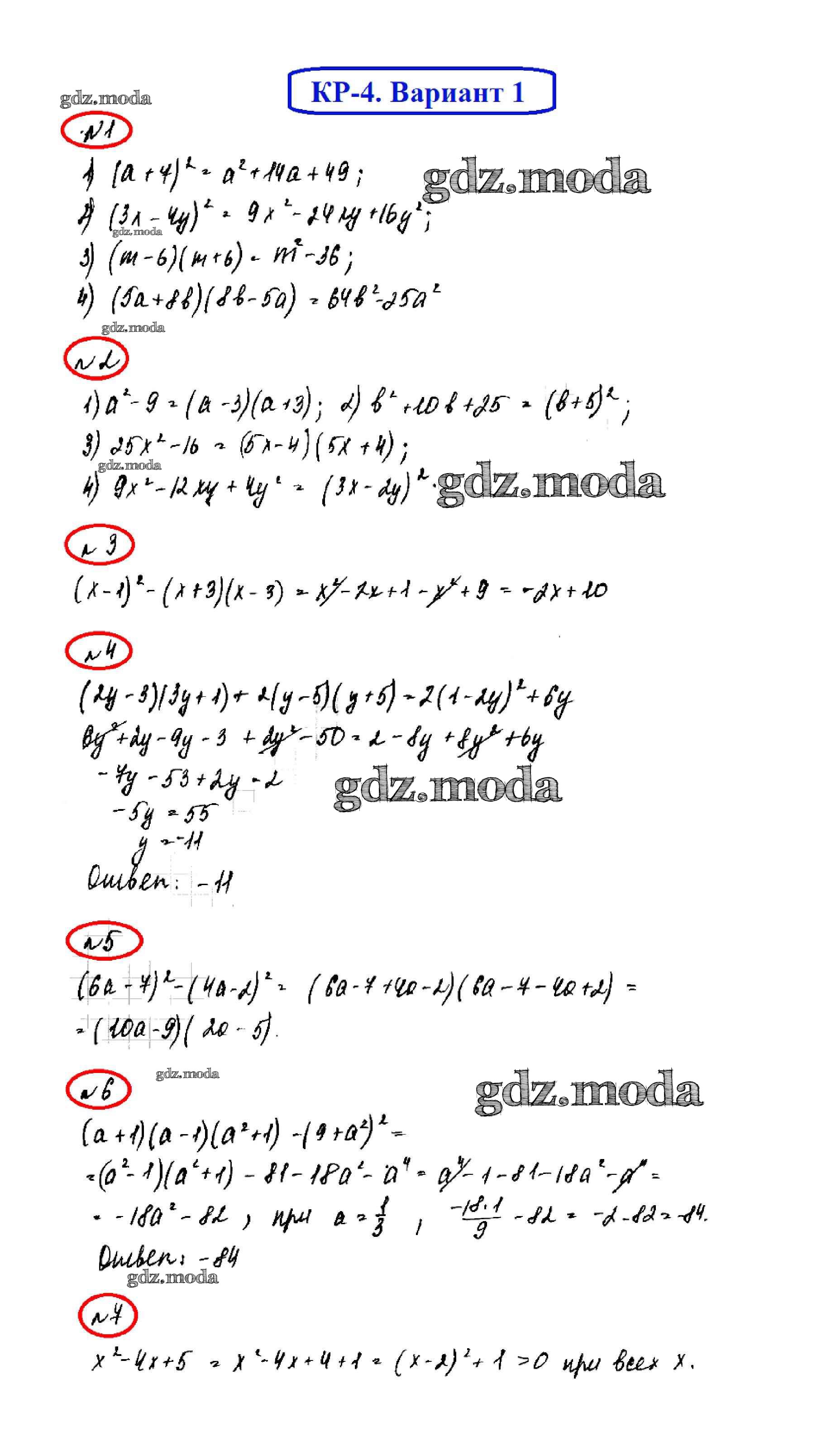
ОТВЕТ на задание № 1 Дидактические материалы по Алгебре 7 класс Мерзляк УМК

Решебник №1

контрольная работа / кр-4. вариант / 1

Решебник №3

контрольная работа / кр-4. вариант / 1

Решебник №4

контрольная работа / кр-4. вариант / 1

Все ГДЗ по Алгебре 7 класс УМК

ГДЗ решение к заданию № 1 Алгебра 7 класс дидактические материалы Мерзляк А.Г. Вентана-граф 2017 ФГОС бесплатно на гдз.мода!