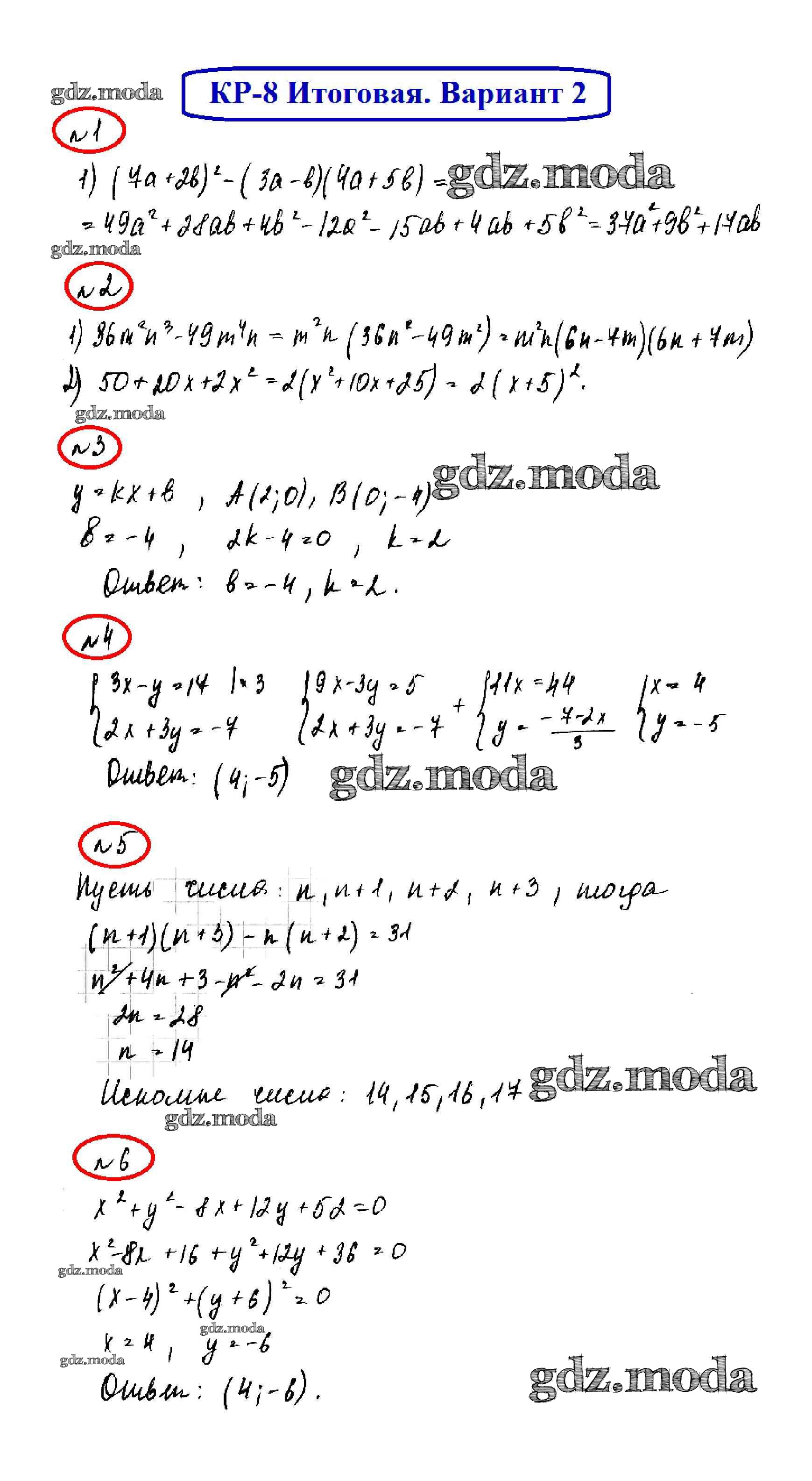
ОТВЕТ на задание № 2 Дидактические материалы по Алгебре 7 класс Мерзляк УМК

Решебник №1

контрольная работа / кр-8. вариант / 2

Решебник №3

контрольная работа / кр-8. вариант / 2

Решебник №4

контрольная работа / кр-8. вариант / 2

Все ГДЗ по Алгебре 7 класс УМК

ГДЗ решение к заданию № 2 Алгебра 7 класс дидактические материалы Мерзляк А.Г. Вентана-граф 2017 ФГОС бесплатно на гдз.мода!