ОТВЕТ на задание № 1019 Учебник по Алгебре 7 класс Мерзляк Алгоритм успеха Базовый уровень
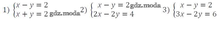
Условия
упражнение / 1019

Решебник №1
упражнение / 1019

Решебник №2
упражнение / 1019

Решебник №3
упражнение / 1019

Решебник №4
упражнение / 1019

Решебник №5
упражнение / 1019

Все ГДЗ по Алгебре 7 класс Алгоритм успеха