ОТВЕТ на задание № 1032 Учебник по Алгебре 7 класс Мерзляк Алгоритм успеха Базовый уровень
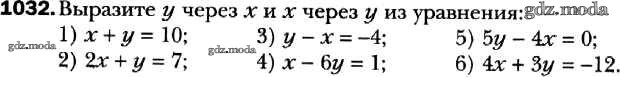
Условия
упражнение / 1032

Решебник №1
упражнение / 1032

Решебник №2
упражнение / 1032

Решебник №4
упражнение / 1032


Решебник №5
упражнение / 1032

Все ГДЗ по Алгебре 7 класс Алгоритм успеха