ОТВЕТ на задание № 1050 Учебник по Алгебре 7 класс Мерзляк Алгоритм успеха Базовый уровень
Условия
упражнение / 1050

Решебник №1
упражнение / 1050


Решебник №2
упражнение / 1050

Решебник №4
упражнение / 1050


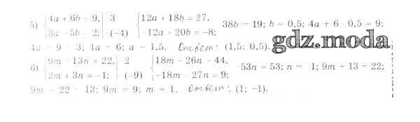
Решебник №5
упражнение / 1050

Все ГДЗ по Алгебре 7 класс Алгоритм успеха