ОТВЕТ на задание № 1135 Учебник по Алгебре 7 класс Мерзляк Алгоритм успеха Базовый уровень
Условия
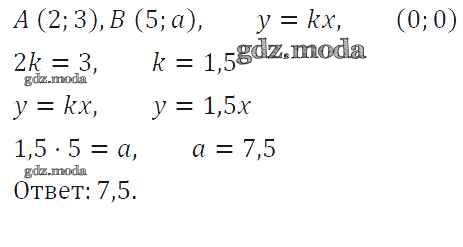
упражнение / 1135

Решебник №1
упражнение / 1135


Решебник №2
упражнение / 1135

Решебник №3
упражнение / 1135

Решебник №4
упражнение / 1135

Решебник №5
упражнение / 1135

Все ГДЗ по Алгебре 7 класс Алгоритм успеха