ОТВЕТ на задание № 1137 Учебник по Алгебре 7 класс Мерзляк Алгоритм успеха Базовый уровень
Условия
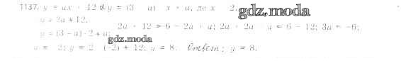
упражнение / 1137

Решебник №1
упражнение / 1137

Решебник №2
упражнение / 1137

Решебник №3
упражнение / 1137

Решебник №4
упражнение / 1137

Решебник №5
упражнение / 1137

Все ГДЗ по Алгебре 7 класс Алгоритм успеха