ОТВЕТ на задание № 1140 Учебник по Алгебре 7 класс Мерзляк Алгоритм успеха Базовый уровень
Условия
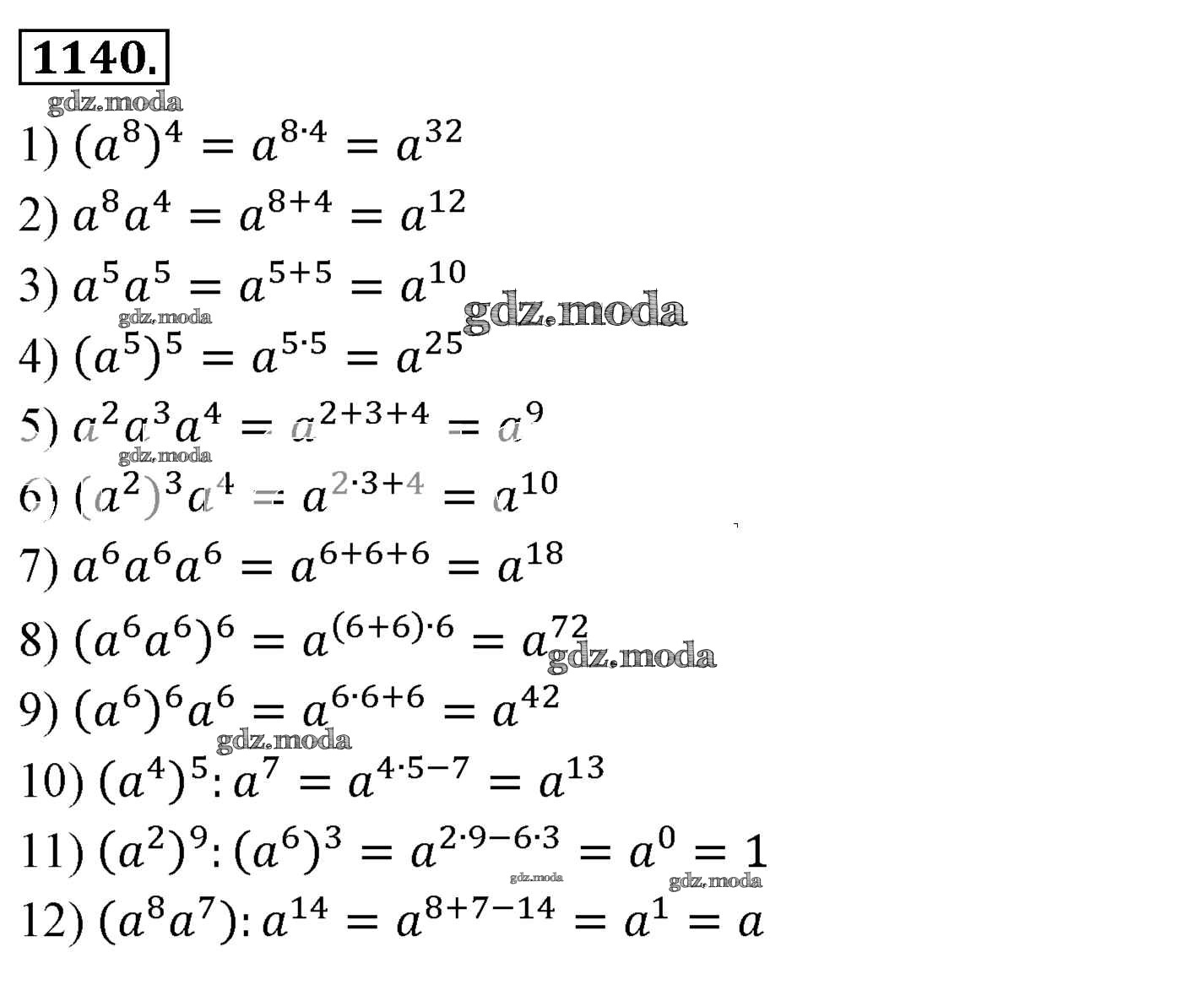
упражнение / 1140

Решебник №1
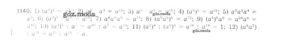
упражнение / 1140


Решебник №2
упражнение / 1140

Решебник №4
упражнение / 1140

Решебник №5
упражнение / 1140

Все ГДЗ по Алгебре 7 класс Алгоритм успеха