ОТВЕТ на задание № 1161 Учебник по Алгебре 7 класс Мерзляк Алгоритм успеха Базовый уровень
Условия
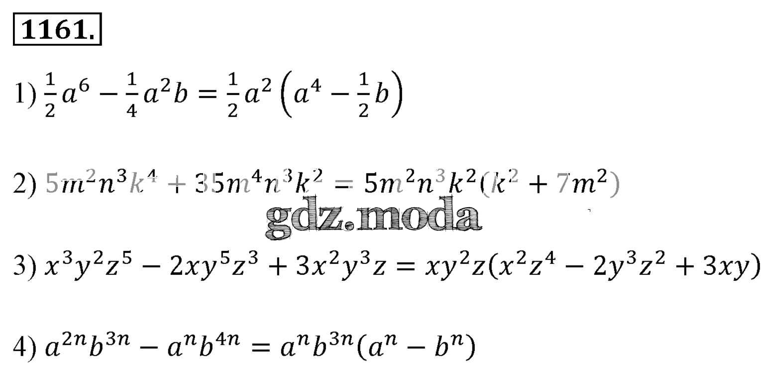
упражнение / 1161

Решебник №1
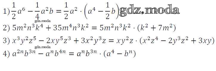
упражнение / 1161

Решебник №2
упражнение / 1161

Решебник №4
упражнение / 1161

Решебник №5
упражнение / 1161

Все ГДЗ по Алгебре 7 класс Алгоритм успеха