ОТВЕТ на задание № 1166 Учебник по Алгебре 7 класс Мерзляк Алгоритм успеха Базовый уровень
Условия
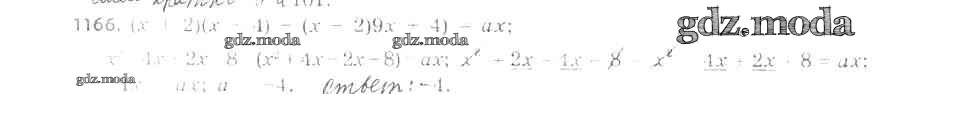
упражнение / 1166

Решебник №1
упражнение / 1166


Решебник №2
упражнение / 1166

Решебник №3
упражнение / 1166

Решебник №4
упражнение / 1166

Решебник №5
упражнение / 1166

Все ГДЗ по Алгебре 7 класс Алгоритм успеха