ОТВЕТ на задание № 1168 Учебник по Алгебре 7 класс Мерзляк Алгоритм успеха Базовый уровень
Условия
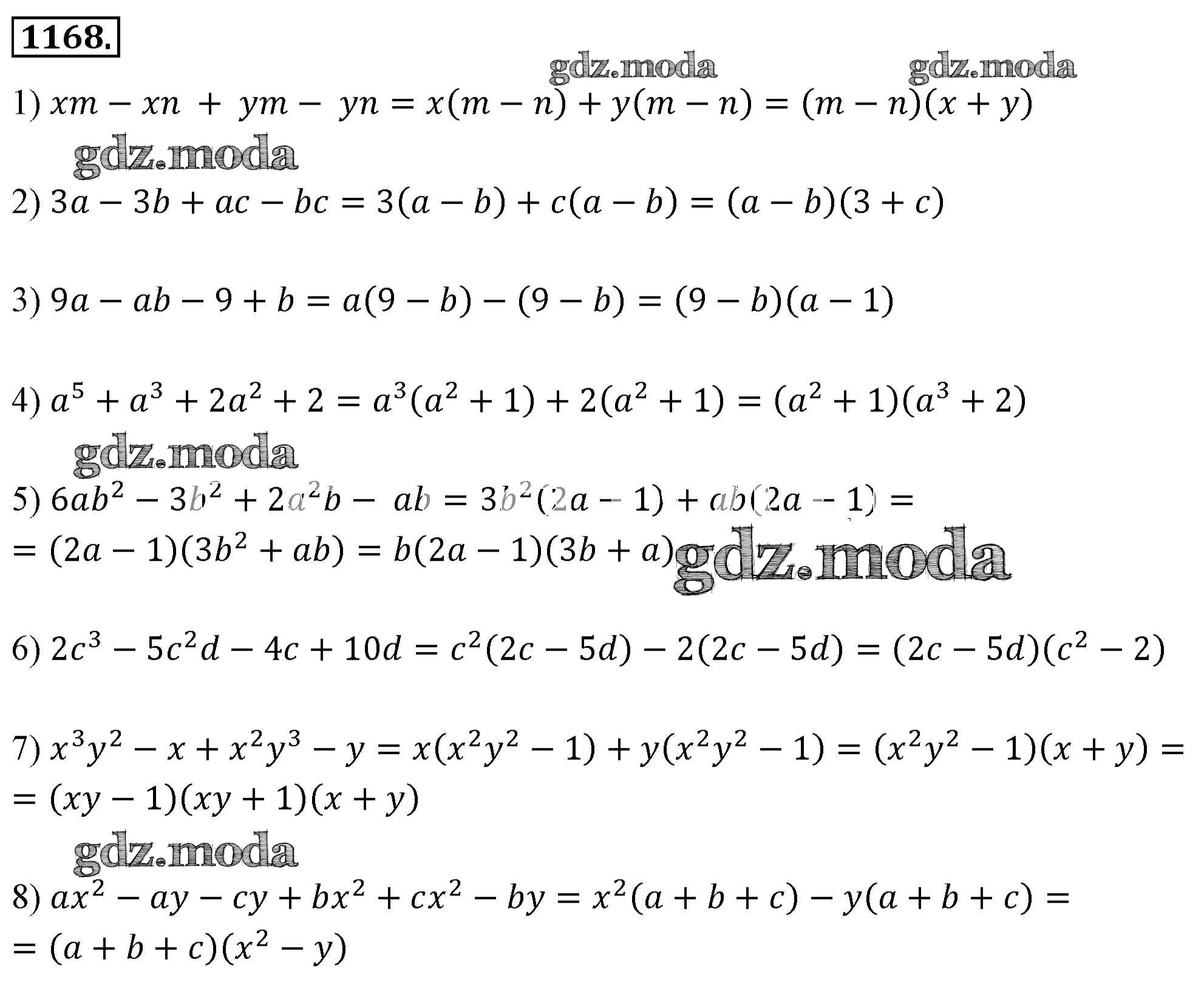
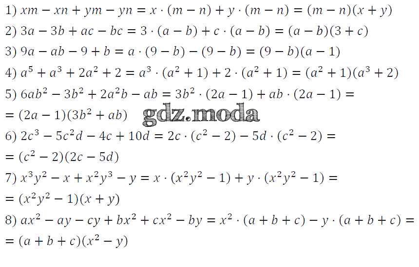
упражнение / 1168

Решебник №1
упражнение / 1168

Решебник №2
упражнение / 1168

Решебник №4
упражнение / 1168

Решебник №5
упражнение / 1168

Все ГДЗ по Алгебре 7 класс Алгоритм успеха