ОТВЕТ на задание № 1187 Учебник по Алгебре 7 класс Мерзляк Алгоритм успеха Базовый уровень
Условия
упражнение / 1187

Решебник №1
упражнение / 1187

Решебник №2
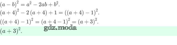
упражнение / 1187

Решебник №4
упражнение / 1187

Решебник №5
упражнение / 1187

Все ГДЗ по Алгебре 7 класс Алгоритм успеха