ОТВЕТ на задание № 1190 Учебник по Алгебре 7 класс Мерзляк Алгоритм успеха Базовый уровень
Условия
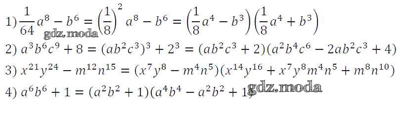
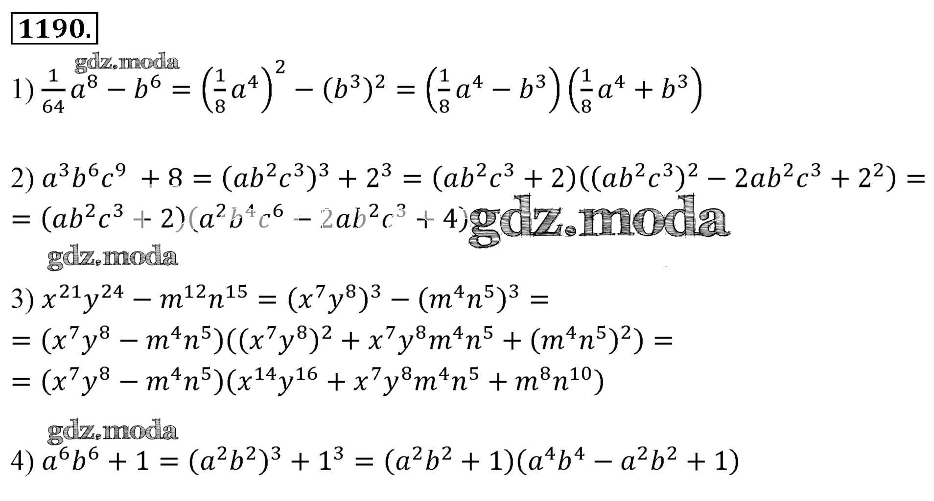
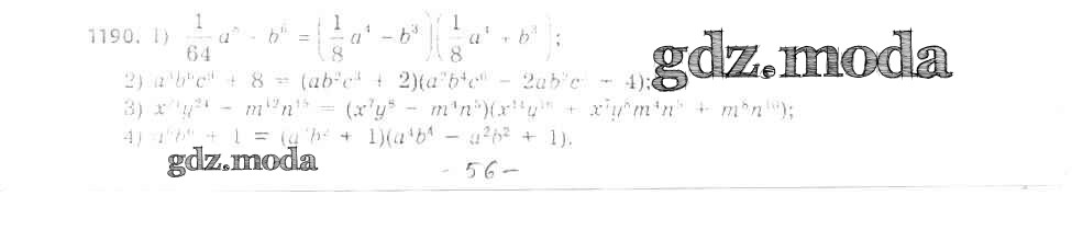
упражнение / 1190

Решебник №1
упражнение / 1190

Решебник №2
упражнение / 1190

Решебник №4
упражнение / 1190

Решебник №5
упражнение / 1190

Все ГДЗ по Алгебре 7 класс Алгоритм успеха