ОТВЕТ на задание № 1195 Учебник по Алгебре 7 класс Мерзляк Алгоритм успеха Базовый уровень
Условия
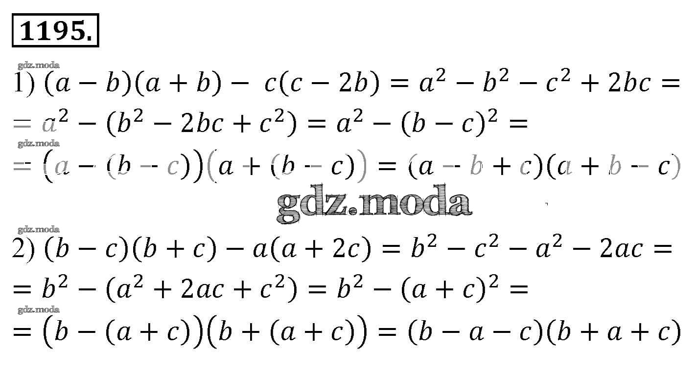
упражнение / 1195

Решебник №1
упражнение / 1195


Решебник №2
упражнение / 1195

Решебник №4
упражнение / 1195

Решебник №5
упражнение / 1195

Все ГДЗ по Алгебре 7 класс Алгоритм успеха