ОТВЕТ на задание № 1208 Учебник по Алгебре 7 класс Мерзляк Алгоритм успеха Базовый уровень
Условия
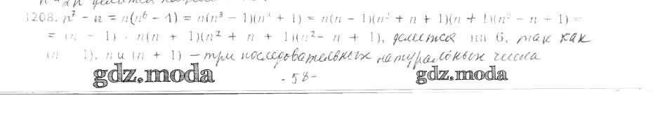
упражнение / 1208

Решебник №1
упражнение / 1208


Решебник №2
упражнение / 1208

Решебник №3
упражнение / 1208

Решебник №4
упражнение / 1208


Решебник №5
упражнение / 1208

Все ГДЗ по Алгебре 7 класс Алгоритм успеха