ОТВЕТ на задание № 1233 Учебник по Алгебре 7 класс Мерзляк Алгоритм успеха Базовый уровень
Условия
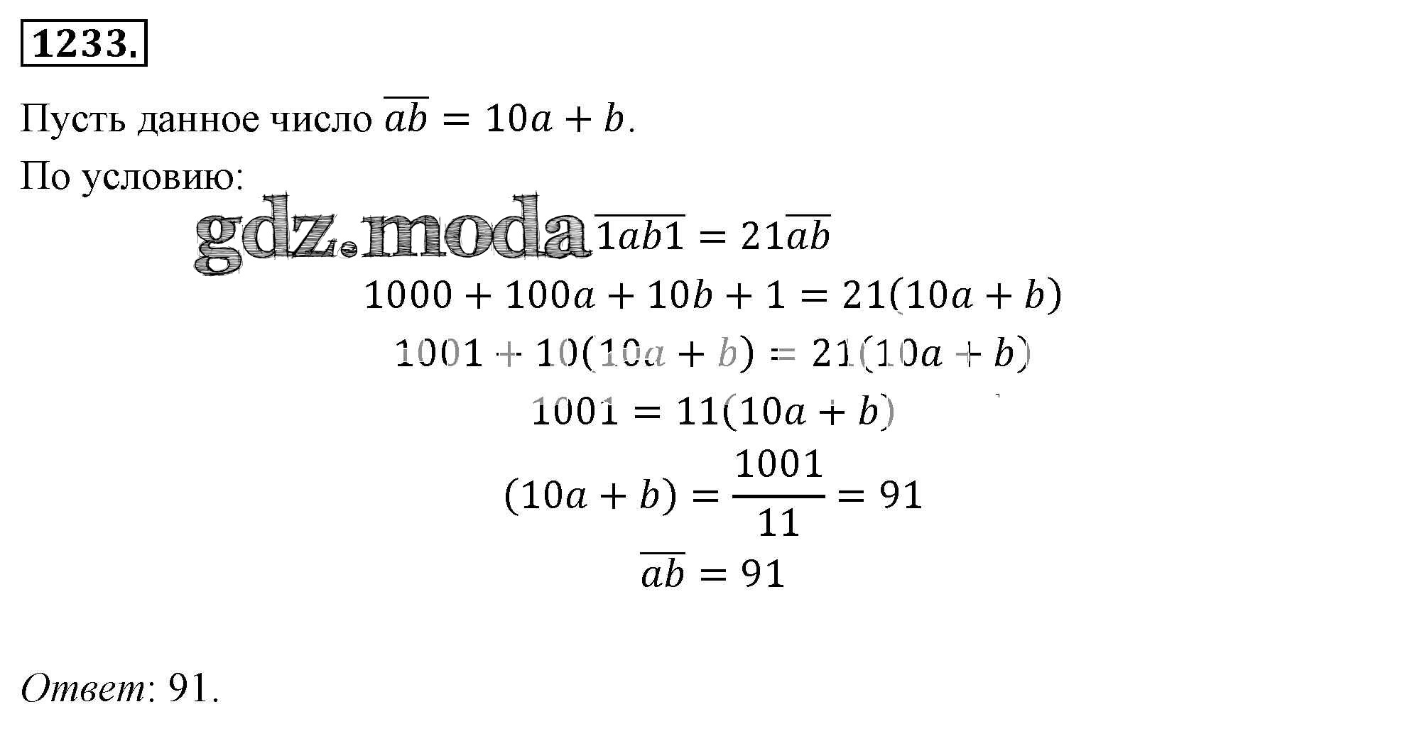
упражнение / 1233

Решебник №1
упражнение / 1233


Решебник №2
упражнение / 1233

Решебник №3
упражнение / 1233

Решебник №4
упражнение / 1233

Решебник №5
упражнение / 1233

Все ГДЗ по Алгебре 7 класс Алгоритм успеха