ОТВЕТ на задание № 125 Учебник по Алгебре 7 класс Мерзляк Алгоритм успеха Базовый уровень
Условия
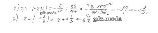
упражнение / 125

Решебник №1
упражнение / 125


Решебник №2
упражнение / 125

Решебник №4
упражнение / 125


Решебник №5
упражнение / 125

Все ГДЗ по Алгебре 7 класс Алгоритм успеха