ОТВЕТ на задание № 164 Учебник по Алгебре 7 класс Мерзляк Алгоритм успеха Базовый уровень
Условия
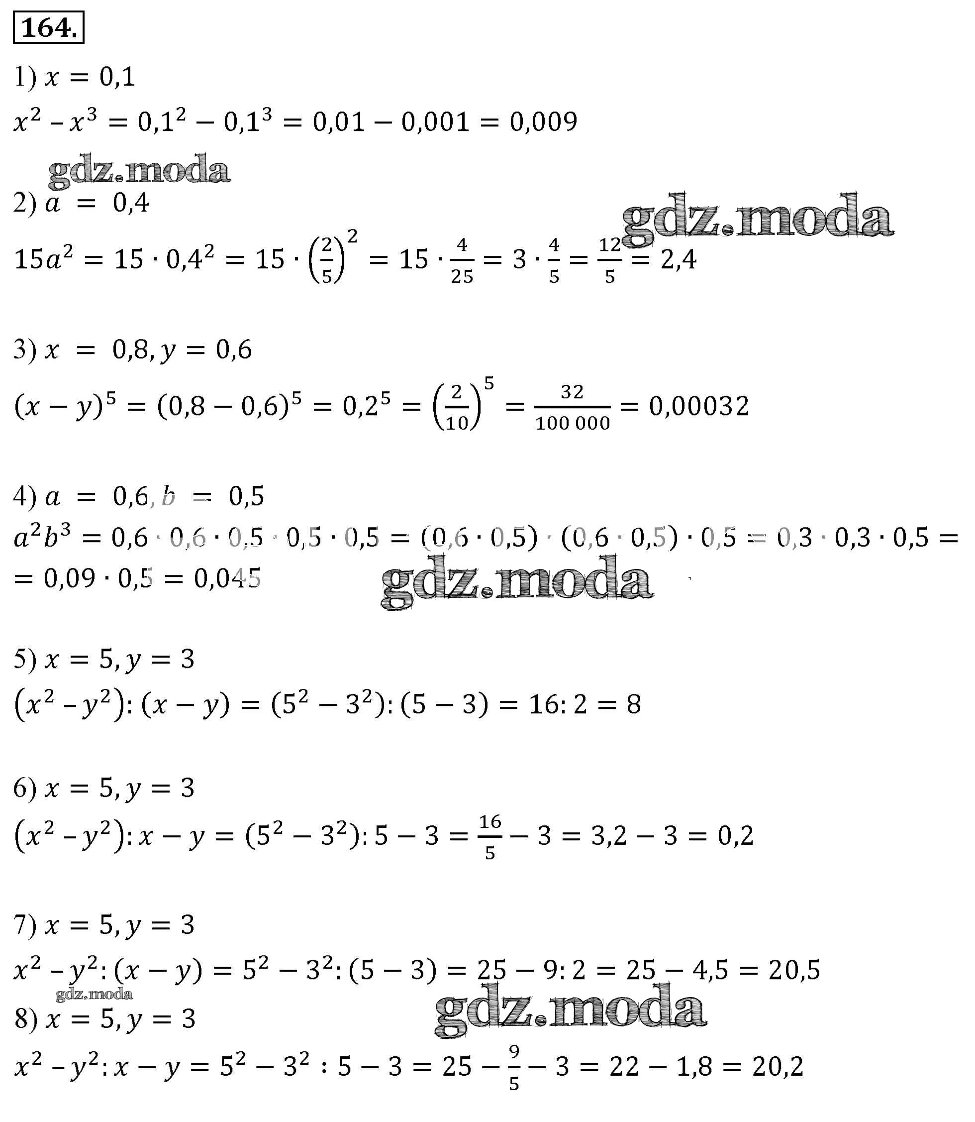
упражнение / 164

Решебник №1
упражнение / 164


Решебник №2
упражнение / 164

Решебник №3
упражнение / 164

Решебник №4
упражнение / 164

Решебник №5
упражнение / 164

Все ГДЗ по Алгебре 7 класс Алгоритм успеха