ОТВЕТ на задание № 18 Учебник по Алгебре 7 класс Мерзляк Алгоритм успеха Базовый уровень
Условия
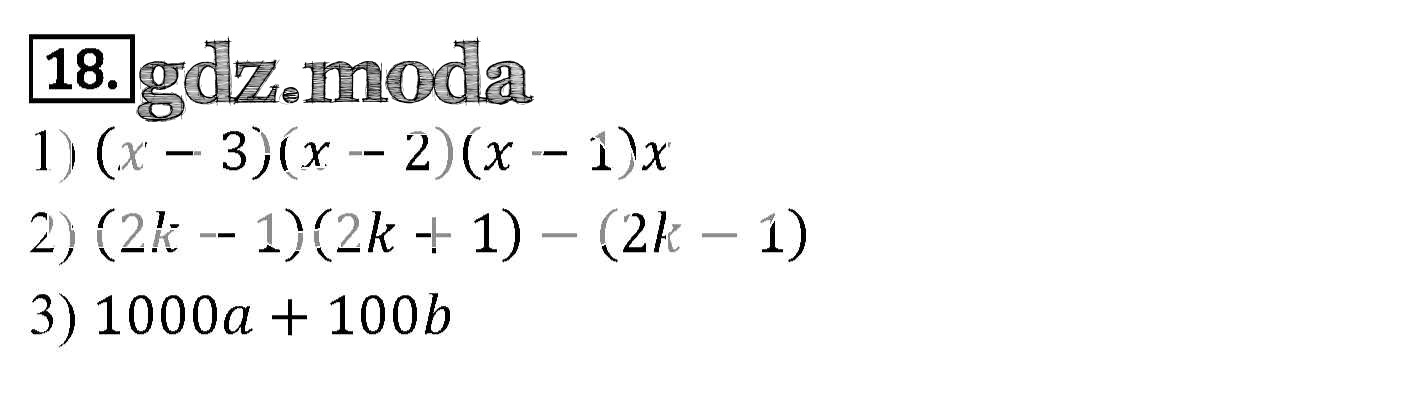
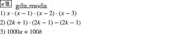
упражнение / 18

Решебник №1
упражнение / 18


Решебник №2
упражнение / 18

Решебник №3
упражнение / 18

Решебник №4
упражнение / 18

Решебник №5
упражнение / 18

Все ГДЗ по Алгебре 7 класс Алгоритм успеха