ОТВЕТ на задание № 205 Учебник по Алгебре 7 класс Мерзляк Алгоритм успеха Базовый уровень
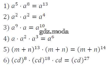
Условия
упражнение / 205

Решебник №1
упражнение / 205

Решебник №2
упражнение / 205

Решебник №4
упражнение / 205

Решебник №5
упражнение / 205

Все ГДЗ по Алгебре 7 класс Алгоритм успеха