ОТВЕТ на задание № 219 Учебник по Алгебре 7 класс Мерзляк Алгоритм успеха Базовый уровень
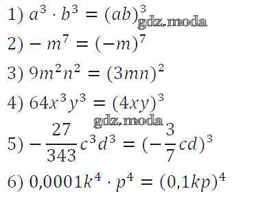
Условия
упражнение / 219

Решебник №1
упражнение / 219

Решебник №2
упражнение / 219

Решебник №4
упражнение / 219

Решебник №5
упражнение / 219

Все ГДЗ по Алгебре 7 класс Алгоритм успеха