ОТВЕТ на задание № 240 Учебник по Алгебре 7 класс Мерзляк Алгоритм успеха Базовый уровень
Условия
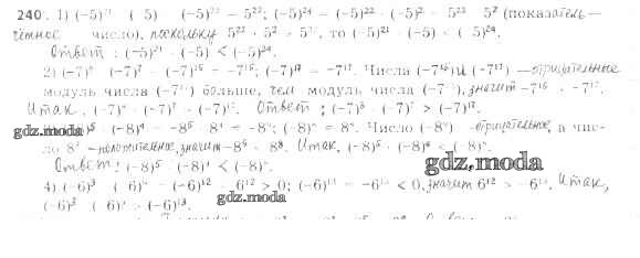
упражнение / 240

Решебник №1
упражнение / 240


Решебник №2
упражнение / 240

Решебник №4
упражнение / 240

Решебник №5
упражнение / 240

Все ГДЗ по Алгебре 7 класс Алгоритм успеха