ОТВЕТ на задание № 265 Учебник по Алгебре 7 класс Мерзляк Алгоритм успеха Базовый уровень
Условия
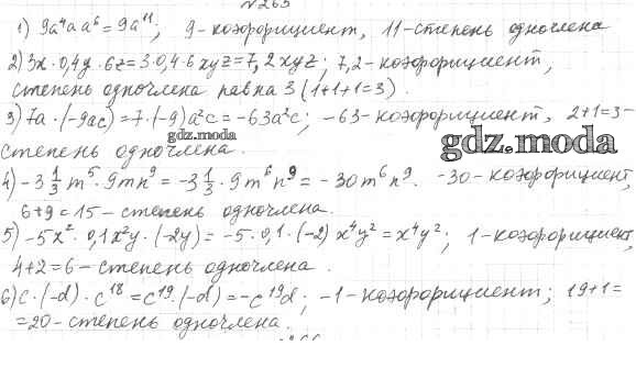
упражнение / 265

Решебник №1
упражнение / 265


Решебник №2
упражнение / 265

Решебник №3
упражнение / 265

Решебник №4
упражнение / 265

Решебник №5
упражнение / 265

Все ГДЗ по Алгебре 7 класс Алгоритм успеха