ОТВЕТ на задание № 269 Учебник по Алгебре 7 класс Мерзляк Алгоритм успеха Базовый уровень
Условия
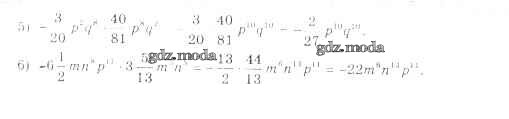
упражнение / 269

Решебник №1
упражнение / 269

Решебник №2
упражнение / 269

Решебник №4
упражнение / 269


Решебник №5
упражнение / 269

Все ГДЗ по Алгебре 7 класс Алгоритм успеха