ОТВЕТ на задание № 27 Учебник по Алгебре 7 класс Мерзляк Алгоритм успеха Базовый уровень
Условия
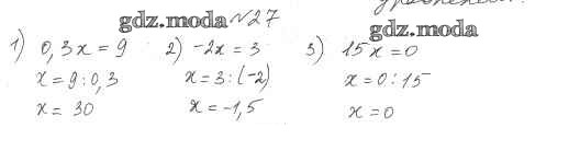
упражнение / 27

Решебник №1
упражнение / 27

Решебник №2
упражнение / 27

Решебник №3
упражнение / 27

Решебник №4
упражнение / 27

Решебник №5
упражнение / 27

Все ГДЗ по Алгебре 7 класс Алгоритм успеха