ОТВЕТ на задание № 274 Учебник по Алгебре 7 класс Мерзляк Алгоритм успеха Базовый уровень
Условия
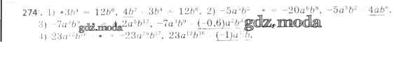
упражнение / 274

Решебник №1
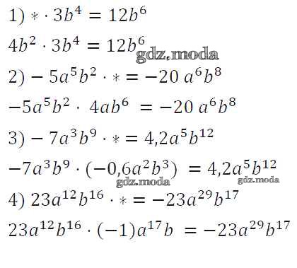
упражнение / 274


Решебник №2
упражнение / 274

Решебник №4
упражнение / 274

Решебник №5
упражнение / 274

Все ГДЗ по Алгебре 7 класс Алгоритм успеха