ОТВЕТ на задание № 276 Учебник по Алгебре 7 класс Мерзляк Алгоритм успеха Базовый уровень
Условия
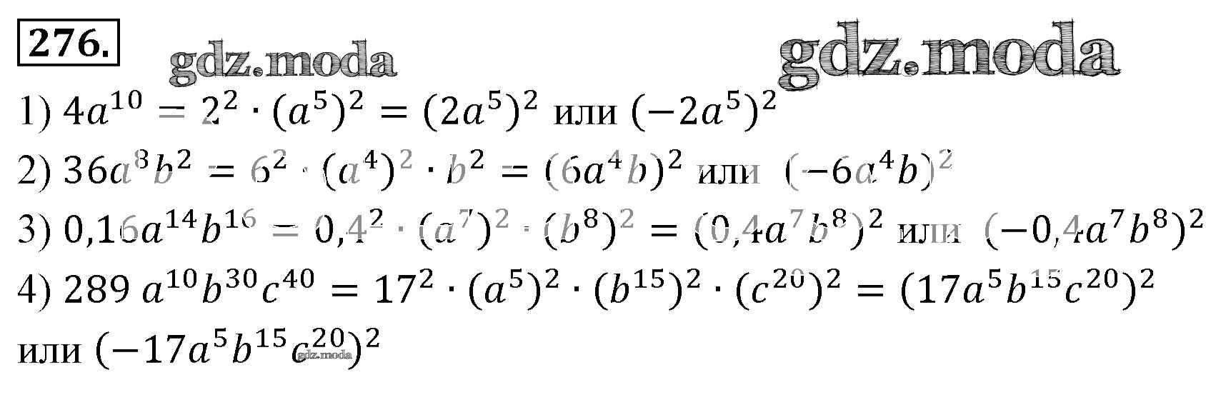
упражнение / 276

Решебник №1
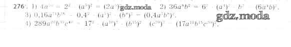
упражнение / 276

Решебник №2
упражнение / 276

Решебник №4
упражнение / 276

Решебник №5
упражнение / 276

Все ГДЗ по Алгебре 7 класс Алгоритм успеха