ОТВЕТ на задание № 290 Учебник по Алгебре 7 класс Мерзляк Алгоритм успеха Базовый уровень
Условия
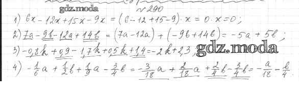
упражнение / 290

Решебник №1
упражнение / 290


Решебник №2
упражнение / 290

Решебник №4
упражнение / 290

Решебник №5
упражнение / 290

Все ГДЗ по Алгебре 7 класс Алгоритм успеха