ОТВЕТ на задание № 296 Учебник по Алгебре 7 класс Мерзляк Алгоритм успеха Базовый уровень
Условия
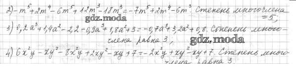
упражнение / 296

Решебник №1
упражнение / 296


Решебник №2
упражнение / 296

Решебник №4
упражнение / 296


Решебник №5
упражнение / 296

Все ГДЗ по Алгебре 7 класс Алгоритм успеха