ОТВЕТ на задание № 3 Учебник по Алгебре 7 класс Мерзляк Алгоритм успеха Базовый уровень
Условия
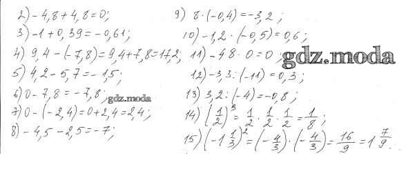
упражнение / 3

Решебник №1
упражнение / 3


Решебник №2
упражнение / 3

Решебник №3
упражнение / 3

Решебник №4
упражнение / 3


Решебник №5
упражнение / 3

Все ГДЗ по Алгебре 7 класс Алгоритм успеха