ОТВЕТ на задание № 30 Учебник по Алгебре 7 класс Мерзляк Алгоритм успеха Базовый уровень
Условия
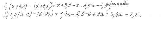
упражнение / 30

Решебник №1
упражнение / 30

Решебник №2
упражнение / 30

Решебник №3
упражнение / 30

Решебник №4
упражнение / 30

Решебник №5
упражнение / 30

Все ГДЗ по Алгебре 7 класс Алгоритм успеха